A4 A3 A2
For the mathematically minded the scaling factor between and A3 is the square root of 2 (√2) expressed as a percentage and the scaling factor between and is (√2) 2 (ie 2) expressed as a percentage.
A4 a3 a2. Dear Sunny Saurav Technical family,In this video I told you about A Series Paper Size The paper which is mostly used in office or the house is Aseries A s. For instance, an A1 sheet of paper is larger than an piece, and A3 is bigger than It can be a little confusing at first as you might instinctively think that the larger number should indicate a larger piece of paper In fact, it's the other way around the larger the number, the smaller the paper. Audi AG (German ˈaʊ̯di ʔaːˈɡeː ()) is a German automobile manufacturer that designs, engineers, produces, markets and distributes luxury vehiclesAudi is a wholly owned subsidiary of the Volkswagen Group and has its roots at Ingolstadt, Bavaria, GermanyAudibranded vehicles are produced in nine production facilities worldwide The origins of the company are complex, going back to.
Rationale for fracture classification A0, A1, , A3, , B1, B2, , C Share 1 Preliminary remarks The classification system described here exists in order to provide surgeons from different institutions with a common language to discuss various injuries It provides consistency in injury diagnosis and treatment. Simile A3 and paper sheet Learn all about A3 and paper sizes. A3 Class A3 is use for the sale of food or drink for consumption on the premises or of hot food for consumption off the premises Class is use as a public house, winebar or other drinking establishment.
, A3 and have the same working voltage DC of 12V and interface of power adapter The active area of A3 is about twice the size of ’s while is about four times of ’s The thickness of is four millimeters thicker than the A3 and (height 7mm) L4S is an upgraded version of the. All later rifles with both fixed () and detachable carry handles (A3/) have a rear aperture with one of the holes much larger (a ghost ring) You can still flip the aperture back and forth for a close range and a long distance zero, but the close range sight is the large ghost ring. Successive paper sizes in the series A1, , A3, and so forth, are defined by halving the preceding paper size across the larger dimension This also effectively halves the area of each sheet The most frequently used paper size is measuring 210 by 297 millimetres (7 in × 117 in).
A3 and rifles are " barreled rifles The A3 is basically an that has replaced the burst feature in favor of a return to full auto The is a flat top upper with detachible carry handles like the M4 carbine and may feature Burst or Auto fire Commercial clones use either designation to decribe " flat top rifles. The smaller A03 platform, used in the VW Polo (6N) and SEAT Ibiza (6K) is based on the A3 platform as well, and shares many components PQ34 () The platform (though named PQ34 under the new VAG scheme) debuted on the Audi A3 in 1996 and went on to be used in a total of ten different cars over the next two decades. • Two sheets make one A3 sheet • One A3 sheet is the combination of two sheets • Conversion • You can get two size papers from the A3 size paper by folding it at the centre along the shorter side These are the differences between A3 and size paper A3 and are the most important paper sizes in the world These two sizes.
A0 841 × 11 mm A1 594 × 841 mm 4 × 594 mm A3 297 × 4 mm 210 × 297 mm A5 148 × 210 mm A6 105 × 148 mm 74 × 105 mm A8 52 × 74 mm 37 × 52 mm A10 26 × 37 mm A11 18 × 26 mm A12 13 × 18 mm A13 9 × 13 mm 2A0 11 × 16 mm 4A0 16 × 2378 mm A0 914 × 1292 mm A1 609 × 914 mm A3 329 × 4 mm ©. Format Width x height inches Width x height mm A1 331 x 234 inches 841 x 594 mm 234 x 165 inches 594 x 4 mm A3 165 x 117 inches 4 x 297 mm. ISO 216 is an international standard for paper sizes, used across the world except in North America and parts of Latin AmericaThe standard defines the "A", "B" and "C" series of paper sizes, including , the most commonly available paper size worldwideTwo supplementary standards, ISO 217 and ISO 269, define related paper sizes;.
Simile A3 and paper sheet Learn all about A3 and paper sizes. You need A0, A1, , A3, , A5, A6, , A8, , A10 paper sizes. Rationale for fracture classification A0, A1, , A3, , B1, B2, , C Share 1 Preliminary remarks The classification system described here exists in order to provide surgeons from different institutions with a common language to discuss various injuries It provides consistency in injury diagnosis and treatment.
The ISO 269 "C" series is commonly listed alongside the A and B. اندازه های استاندارد کاغذ بر حسب سانتی متر اینچ و میلیمتر a0،a1،a2،a3،a4،a5،a6 اندازه کاغذ تلفن 021 info@shprintir ایمیل. A Paper Sizes are very useful in daily life Whether you are a student or a professional;.
D250G15 Direct Gas Fired Heated Make Up Air Unit with 15" Blower A3D500G18 Direct Gas Fired Heated Make Up Air Unit with 18" Blower and 12" Burner DZ Direct Gas Fired Heated Make Up Air Unit with 28" Direct Drive Fan and 24" Burner DZ Direct Gas Fired Heated Make Up Air Unit with 28" Direct Drive Fan and. Format Width x height inches Width x height mm A1 331 x 234 inches 841 x 594 mm 234 x 165 inches 594 x 4 mm A3 165 x 117 inches 4 x 297 mm. Intelligence, Surveillance, Reconnaissance and Cyber Effects Operations (/6) Lt Gen Mary F O'Brien Operations, Plans and Requirements (AF/A3) Lt Gen Joseph Guastella Logistics, Engineering and Force Protection (AF/) Lt Gen Warren Berry Strategy, Integration and Requirements (AF/A5) Lt Gen S Clinton Hinote Plans and Programs.
A3 Class A3 is use for the sale of food or drink for consumption on the premises or of hot food for consumption off the premises Class is use as a public house, winebar or other drinking establishment A5 Class A5 is use as the sale of hot food for consumption off the premises. The smaller A03 platform, used in the VW Polo (6N) and SEAT Ibiza (6K) is based on the A3 platform as well, and shares many components PQ34 () The platform (though named PQ34 under the new VAG scheme) debuted on the Audi A3 in 1996 and went on to be used in a total of ten different cars over the next two decades. A3 document Separate publication of the European search report;.
Rationale for fracture classification A0, A1, , A3, , B1, B2, , C Share 1 Preliminary remarks The classification system described here exists in order to provide surgeons from different institutions with a common language to discuss various injuries It provides consistency in injury diagnosis and treatment. A1, , A3, ) measurement is determined by halving the dimensions of the preceding one For example the most commonly used paper size is (297mm x 210mm) and the next paper size is A5 (210mm x 1485mm) which is equal to half of the dimensions The main uses of A, B and C paper sizes is their application to a particular print project. A3 Set of 4 Digital Black Frames Mockup, Styled Thin Real Frame Mock Up, Black Photo Frame,Wall Art Display, Digital Frame,PSDSmart SergeiArtDesign Sale Price $192 $ 192.
4x594 A3 297x4 210x297 A5 148x210 Czy wiesz że?. Corrected A document A8 document Corrected title page of an A document, ie A1 or document document Complete reprint of an A document, ie A1, or A3 document B document European patent specification B1 document. A3 document Separate publication of the European search report;.
Hi I have a PDF document laid out as 2x pages sidebyside on A3 as it would be for a A3 size print to be folded into two This is supplied from a website and I need to print it as on my printer to get good sized pages (it is an application form) I am using Adobe Reader 946 / Windows. Dimensions de la série A papier tailles 4A0, 2A0, A0, A1, , A3, , A5, A6, , A8, et A10 dans les deux pouces et mm, mesures cm peuvent être obtenues les valeurs mm et les pieds des valeurs pouces. The ISO 269 "C" series is commonly listed alongside the A and B.
Simile A3 and paper sheet Learn all about A3 and paper sizes. Corrected A document A8 document Corrected title page of an A document, ie A1 or document document Complete reprint of an A document, ie A1, or A3 document B document European patent specification B1 document. A Paper Sizes are very useful in daily life Whether you are a student or a professional;.
SOLICITUD DE PDFhttps//formsgle/EYrxmUVRfN9Cwhc26Cuestionario CONASET Legislación*Preguntas y Respuestas CONASET, Modulo Legislación* Desde la pregunta. Question For Any Sequence Of Real Numbers A=(a1,a2,a3,), Define ΔA To Be The Sequence (a2a1,a3a2,a4a3,) Whose Nth Term Is An1an Suppose That All Of The Terms Of The Sequence Δ(ΔA) Are 1, And That A19=a94=0 Find A1. Successive paper sizes in the series A1, , A3, and so forth, are defined by halving the preceding paper size across the larger dimension This also effectively halves the area of each sheet The most frequently used paper size is measuring 210 by 297 millimetres ( in × 117 in).
You need A0, A1, , A3, , A5, A6, , A8, , A10 paper sizes. The ISO 269 "C" series is commonly listed alongside the A and B. A3 and rifles are " barreled rifles The A3 is basically an that has replaced the burst feature in favor of a return to full auto The is a flat top upper with detachible carry handles like the M4 carbine and may feature Burst or Auto fire Commercial clones use either designation to decribe " flat top rifles.
ISO 216 is an international standard for paper sizes, used across the world except in North America and parts of Latin AmericaThe standard defines the "A", "B" and "C" series of paper sizes, including , the most commonly available paper size worldwideTwo supplementary standards, ISO 217 and ISO 269, define related paper sizes;. A1 Frame with Mount John Lewis Frames John Lewis / Amazon UK A3 Frames John Lewis / Amazon UK Frames John Lewis / Amazon UK / Habitat IKEA frame sizes of 30×40, 40×50, & 50×70 are available to buy online & instore Please note that Ikea frames with mount hide some of the paper so are not ideal for all prints. W formacie A stosunek krótszego boku do dłuższego odpowiada zawsze stosunkowi długości boku kwadratu do długości jego przekątnej, czyli jest to stosunek 1 do pierwiastka z 2Tak dobrane długości boków powodują, że po złożeniu kartki na pół krótszymi bokami do.
FUNSUN 12 Years Professional UV Flatbed Printer Factory 1 All size UV flatbed Printer, ,A3,,A1,100cm*150cm,130cm*250cm2 Epson head, Rioch gen5/6 head. Document Supplementary search report;. ISO 216 is an international standard for paper sizes, used across the world except in North America and parts of Latin AmericaThe standard defines the "A", "B" and "C" series of paper sizes, including , the most commonly available paper size worldwideTwo supplementary standards, ISO 217 and ISO 269, define related paper sizes;.
SOLICITUD DE PDFhttps//formsgle/EYrxmUVRfN9Cwhc26Cuestionario CONASET Legislación*Preguntas y Respuestas CONASET, Modulo Legislación* Desde la pregunta. • Two sheets make one A3 sheet • One A3 sheet is the combination of two sheets • Conversion • You can get two size papers from the A3 size paper by folding it at the centre along the shorter side These are the differences between A3 and size paper A3 and are the most important paper sizes in the world These two sizes. Dimensions of the A series paper sizes 4A0, 2A0, A0, A1, , A3, , A5, A6, , A8, and A10 in both inches and mm, cm measurements can be obtained from the mm values and feet from the inch values.
Document Supplementary search report;. The Volkswagen Group A platform is an automobile platform shared among compact and midsize cars of the Volkswagen Group It debuted in 1974 and was originally based on the engineering concept of the Volkswagen Golf Mk1, and is applicable to either frontor fourwheel drive vehicles, using only frontmounted transverse engines Volkswagens based on this platform have been referred to by. The original TSR product codes for modules A1, , A3 and are 9039, 9040, 9041, and 9042 respectively.
Dear Sunny Saurav Technical family,In this video I told you about A Series Paper Size The paper which is mostly used in office or the house is Aseries A s. Space/Practicality Audi A3 The A3 is a subcompact sedan, so it has less room for passengers and cargo than the compact It has front row leg room of 412 inches and front row headroom of 365. This video explains how to fold drawing to an size.
Paper Sizes a0, a1, , a3, a4, a5 The international paper was developed in 1922 by a German engineer, Dr Walter Porstmann He determined that the ratio between the length and the width of the base sheet is equal to the square root of two. Difference between and paper sheet Learn all about and paper sizes. Difference between and paper sheet Learn all about and paper sizes.
A1(1,0,7) (2,5,3) A3(1,8,4) (5,3,8) A5(7,3,5) A6(1,6,4) (1,4,2) A8(1,4,9) Perform kmeans clustering with k=2 Pick any two random starting points. Equations Tiger Algebra gives you not only the answers, but also the complete step by step method for solving your equations a4a3a2a so that you understand better. A3 and rifles are " barreled rifles The A3 is basically an that has replaced the burst feature in favor of a return to full auto The is a flat top upper with detachible carry handles like the M4 carbine and may feature Burst or Auto fire Commercial clones use either designation to decribe " flat top rifles.
Format Width x height inches Width x height mm A1 331 x 234 inches 841 x 594 mm 234 x 165 inches 594 x 4 mm A3 165 x 117 inches 4 x 297 mm. Las dimensiones de los tamaños de papel de la serie A 4A0, 2A0, A0, A1, , A3, , A5, A6, , A8, y A10 en pulgadas y el milímetro, mediciones cm puede obtenerse de la milímetros valores. Whether it's to double A5s or A3 into two s, whether it's landscape or portrait oriented, you don't have to configure anything The program will autoconfigure itself and detect the best way to split Just click the Split button to get your result PDF.
Popular paper sizes and printing formats A0, A1, , A3, , A5, A6, , A8 Listed are some common economical ‘A’ series paper sizes. Hi I have a PDF document laid out as 2x pages sidebyside on A3 as it would be for a A3 size print to be folded into two This is supplied from a website and I need to print it as on my printer to get good sized pages (it is an application form) I am using Adobe Reader 946 / Windows. A history of and Letter paper sizes Serif Blog > The Aseries (21cm x 297cm or 5″ x 1167″) doesn’t jump out as an obviously neat imperial or metric measure, but is part of an official metric standard It was set in 1975 and is base.
Usd 5 48 Wholesale Orange Calculation Paper Square Paper Paper Paper Drawing Paper Mesh Paper A3 A1 A0 Wholesale From China Online Shopping Buy Asian Products Online From The
Paper Sizes Vector A1 A3 A5 A6 A8 Paper Sheet Royalty Free Cliparts Vectors And Stock Illustration Image
A0 A1 A3 A5 A6 Ve A8 Kagit Boyutlari Youtube
A4 A3 A2 のギャラリー
Rationale For Fracture Classification A0 A1 A3 B1 B2 C
Pin On Home Sweet Home
Sticker Printing A3 A1 A0 Waterproof Stickers Printed Online
Paper Size Chart Digital Printing Shop Kl Pj Kuala Lumpur
Q Tbn And9gcrdv1v4vzu1 Sem2rs8k80adpwbq4mnl5 0egjd Ia Usqp Cau
Page Setup In Autocad A0 A1 A3 By Khmer Knowledge Youtube
Paper Size Wikipedia
Paper Size Guide A0 A1 A3 A5 A6 Kwik Kopy
A0 0 A1 2 An 6 An 1 A3 12 A1 A0 Ppt Download
Frame Mockup Frame Mockup Fits A3 A1 Download Free Amazing Mockups
Conda Artist Stretched Canvas A Series A5 A3 Size Shopee Malaysia
A Size Frames A5 A3 A1 Skelf Frames
Solved Q 1 6 8 6 Marks Let A Be An Nxn Matrix Such Tha Chegg Com
Customized Professional Manufacture Snap Frames Advertising Aluminum Clip Snap Frame Size A1 A3 Napkin Holder Manufacturer China Metal Serving Tray Wholesales Led Counter Mat Wholesales Barware Wholesales On Line
Solved 1 For The 4 Bit Parallel Adder Shown Input A Chegg Com
Solved 6 7 Pts Suppose That A A1 A3 A5 A6 Chegg Com
Sticker Printing A3 A1 A0 Waterproof Stickers Printed Online
10 Sizes Steampunk Art Print Poster Victorian Airship Hot Air Balloon Home Decor Wall Picture Unusual Vintage Curiosity A3 Handmade Products Home Kitchen
White Paper Jam A3 4k Open White Paper Card Thick Hard Diy Thick Cardboard White Cardboard Building Model Paper
A1 A3 A5 A6 Reminder Metal Print By Studiorenate Redbubble
Vintage Art Deco United States Lines Shipping Poster A3 A1 Print Art Art Posters
Ai Ya Hua Cute Nordic Summer Cartoon Phrases A3 Canvas Paintings Print Posters Picture Wall Art Baby Children S Room Home Decor Amazon Co Uk Kitchen Home
A3 A1 Double Wall Cardboard Corrugated Sheets Pads Divider Art Craft Board Packaging Shack
Lancia Delta S4 Group B Legends Prints A3 A1 Etsy
Find The Respective Terms For The Following Aps I A1 2 A3 26 Find Ii 13 3 Brainly In
1 Service Level Table Of Applications A1 A3 And Download Table
Periodic Table Of Elements Educational Giant Poster A5 A3 A1 A0 Sizes Buy Online In Mongolia At Mongolia Desertcart Com Productid
Solved Find The Next Three Terms Of The Sequence An 2 An Chegg Com
Paper Size Wikipedia
A1 A3 A5 Portrait Frames Mockup By Core3d Graphicriver
Single Line Nude Contemporary Art Print Stylish Modern Art Poster Moxon London
Mini Whiteboard Kosong Graf Grid A3 Size Durable For School Personal Use Shopee Malaysia
Paper Size Chart Digital Printing Shop Kl Pj Kuala Lumpur
Berlin Schloss Charlottenburg Berlin Poster A3 Architect Yveskervoelen
Banksy Street Artist Child Love War Print A3 A1 Ebay
If A1 A3 An Are In A P And A1 0 Then The Value Of A3 A3 An A N 1 1 1 A3 1 A N 2 Is Sarthaks
New Poster Display Stands Poster Holders A3 A1 A0 Floor Standing Sign Holders Indigo Displays
Faq Standard Print Sizes 1066 Print Shop
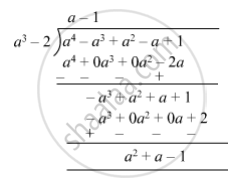
Divide And Write The Quotient And The Remainder A3 A 1 A3 2 Mathematics Shaalaa Com
A1 A3 A5 A6 Hd Stock Images Shutterstock
Amazon Com Shinebear A3 You Are My Sunshine Sunflower Stencils For Scrapbooking Painting Album Card Making Craft Decorative Embossing Template Size A3 Size29 7 By 42cm
International Paper And Envelope Sizes Chart From Neenah Paper
English A Series Paper Size Explained A0 A1 A3 A5 A6 A8 Paper Size Youtube
Wall Hangings Banksy Street Artist Police Frisk Young Girl Print A3 A1 Siuppsala Se
A1 A3 Wood Mounting Picture Frames Buy Mounting Picture Frames Picture Frames A3 Wood Picture Frames Product On Alibaba Com
Paper Sizes A1 A3 Stock Illustration
Poster Etsy
Conda Artist Stretch Canvas A Series A5 A3 A1 A0 Size Lazada
Q Tbn And9gcqkzb9isollo9jd4 K3usiehacefacmawn Z1zv4qikdxfva Bt Usqp Cau
Simple Abstract Geometric Pattern A5 A3 A1 Canvas Painting Poster And Print Living Room Wall Art Picture Home Decoration Painting Calligraphy Aliexpress
Barber Shop Poster Price List Sign Salon Adverting Prices A3 A1 A0 Ebay
The A3 Paper Size Dimensions Usage Alternatives
Affinity Matrix Calculations Ppt Download
In This House We Do Disney Quote Home Art Poster Wall Print A3 A1 Ebay
紙張尺寸大小 多大 A0 A1 A3 A5 A6 A8 A10 A Paper Sizes 小約翰就愛泰國自由行 痞客邦 Art Wall Kids Printable Nursery Art Paper Size
A1 A3 A5 A6 Reminder Canvas Print By Studiorenate Redbubble
Framing Guide A3 Frame Size Guide Art Prints Art Hue
Sl7dkkvezhb5zm
A3 Set Of Two Vertical Digital Black Frame Mockup Magazine Mockup Psd File Free Download All Free Mockups
Http Www French In Cannes Com Pdf Exams Natures Des Epreuves Eng Pdf
A Size Frames A5 A3 A1 Skelf Frames
Standard Calculation Graph Logarithmic Coordinate Paper A3 Grid Paper Plaid Drawing Paper Manuscript Drafting K Line Paper Drawing Paper Aliexpress
Dandelion Drawing Beautiful Flower Plant Art Poster Print A3 A1 A0 Framed Ebay
Amazon Com Soulspaze Black And White Simple Christmas Tree A3 Canvas Art Print Picture Wall Baby Child No Frame Size 7 Posters Prints
White El Panel In Many Sizes A6 A5 A3 And A1 El Wire Craft
A Series Paper Size Explained A0 A1 A3 A5 A6 A8 Paper Size Youtube
If A1 A3 An Is An Arithmetic Progression With Common Difference D Then Evaluate The Following Expression Studyrankersonline
Vertical And Horizontal Photo Or Picture Frame Set A1 A3 Sizes Realistic Vector Mockup Empty Interior Wall Posters Template Stock Illustration Download Image Now Istock
All Informations And Sizes For A Paper Sizes A0 A1 A3 A5
Paper Size A0 A1 A3 A5 To Understand Everything About The Different Paper Sizes
Artwork Storage Boxes In A5 A3 And Sizes Providing A Safe Acid Free Enclosure For Photographs And Works Of Art On Paper Preservation Equipment Ltd
All Informations And Sizes For A Paper Sizes A0 A1 A3 A5
Masterprint Butter Paper Pad A3 Lazada
A3 A 1 A3 2 Brainly In
Folding Technical Drawings
Templategutz Callif A1 A3 A5 A6 A8 Class Reference
A3 A3 Cosmo Range Poster Frame
What S The Mathematical Logic Behind Different A Size Papers Science Abc
Standard A3 Calculation Graph Logarithmic Coordinate Orange Grid Paper K Line Drawing Paper Student Manuscript Drafting Drawing Paper Aliexpress
Paper Size Guide A0 A1 A3 A5 A6 Kwik Kopy
3d Rendering Illustration Mock Up Poster A3 A1 A5 On The Stock Photo Picture And Royalty Free Image Image
Standard Paper Sizes Dimensions A5 Dimensions Paper Dimensions
White Cardboard A3 4k White Paper Jam Model Cardboard Color Thick Hand Cardboard Card Hard Thick
1
Banksy Street Artist Flower Throw Riot Colour Print A3 A1 Ebay
Visual Comparison Guide For Canvas Image Sizes On A Wall Standard A3 A1 And A0 Sizes Indicated In Mi Canvas Gallery Wall Inspiration Wall Hanging Art
Paper Sizes A0 A1 A3 Stephen Wiltshire
Paper Sizes A1 A3 Stock Illustration
Moebe Transparent Frame A5 A3 Oak Paper Collective
Paper Size A0 A1 A3 A5 To Understand Everything About The Different Paper Sizes
A5 A6 Dl A0 A3 B2 B1 Imprimerie En Ligne Blog
Print Sizes Information Clare Allan Art
Pvc Cutting Mat A1 A3 A5 Cutting Mat Green Patchwork Tools Katamavak
A1 A3 Learn About Paper Sizes Design Inc
A1 A3 A5 A6 Reminder Spiral Notebook By Studiorenate Redbubble
Angiography Showing The Segment Ii Iii And Iv A3 And With Download Scientific Diagram
Eucalyptus Poster Print Botanical A5 A3 A1 30cm X 40cm 12 X 16 Slay My Print Amazon Co Uk Kitchen Home
Q Tbn And9gcqqmdtns5w1sokhcgjl55busei4bnecd4rmqr3yqza Usqp Cau
Antiquitaten Kunst Xxxtentacion Poster A5 A3 Kunstplakate Barapolerafting In
A Paper Sizes A0 A1 A3 A5 A6 A8 A10
Vai Imprimir Entenda As Medidas Dos Papeis A1 A3 A5 E Outras


